Hoge kwaliteit laag koolstofstalen hoekstaal
$600-800 /Ton
| betaling Type: | L/C,T/T,D/P,D/A,Paypal |
| Incoterm: | FOB,CFR,CIF,EXW,DDP,DDU,Express Delivery |
| Min. orde: | 1 Ton |
| vervoer: | Ocean,Land,Air,Express |
| Haven: | Tianjin Port,Qingdao Port |
Select Language
English
$600-800 /Ton
| betaling Type: | L/C,T/T,D/P,D/A,Paypal |
| Incoterm: | FOB,CFR,CIF,EXW,DDP,DDU,Express Delivery |
| Min. orde: | 1 Ton |
| vervoer: | Ocean,Land,Air,Express |
| Haven: | Tianjin Port,Qingdao Port |
Model: Q355
merk: Jianlong
Origin: China
certificaat: ISO
Standaard-: AiSi, ASTM, bs, DIN, GB, JIS
Materiaal: Q195-Q420-reeks, SS400-SS540-reeks, S235JR-S335JR reeks, St-serie, A36-A992-reeks
Plaats Van Herkomst: China
Soorten: Gelijk, ONGELIJK
Tolerantie: ± 1%
Verwerkingsservice: Buigen, Lassen, Ponsen, Decoiling, Snijden
Place Of Origin: shandong
Invoicing: by theoretical weight
Technique: Hot Rolled
Length: 6m-12m
Toepassing: building construction
Shape: angle
Package: Standard Sea-worthy Packing
Alloy Or Not: Non-Alloy
Aflevertijd: 8-14 days
Betaling: 30%TT Advance+70% TT Balance
| Verkoopeenheden | : | Ton |
| Pakkettype | : | Papierplastic waterdichte of ijzeren plaatbedekking of drie riemen bindend |
| Afbeeldingsvoorbeeld | : |
|
The file is encrypted. Please fill in the following information to continue accessing it
Productbeschrijvingen:
Hoekstaal wordt algemeen bekend als hoekijzer in profielmateriaal, is een lange strook staal met twee zijden loodrecht op elkaar. Het is voornamelijk verdeeld in twee categorieën: gelijke hoekstaal en ongelijke hoekstaal, waaronder ongelijke hoekstaal kan worden verdeeld in ongelijke rand gelijke dikte en ongelijke rand ongelijke dikte. Het hoekstaal kan worden samengesteld uit verschillende spanningsdragende leden volgens de verschillende behoeften van de structuur, en kan ook worden gebruikt als een verband tussen de leden. Op grote schaal gebruikt in verschillende bouwstructuren en technische structuren, zoals bouwbalken, bruggen, stroomoverdrachtstorens, tillen en transportmachines, schepen, industriële ovens, reactietorens, containerrekken, kabelgrenchsteunen, stroomleidingen, busbarondersteuningsinstallatie en magazijninstallatie en magazijn. Planken enzovoort.
Hoekstaal is een structuurstaal van koolstof voor constructie. Het is een sectie staal met een eenvoudig gedeelte. In gebruik vereist het goede lasbaarheid, plastic vervormingsprestaties en bepaalde mechanische sterkte. De grondstofbiljetten voor de productie van hoekstaal zijn koolstofarme vierkante billets en het afgewerkte hoekstaal wordt geleverd in een warm gerolde, genormaliseerde of heet gerolde toestand.
Productfoto's:


Chemische samenstellingen:
Samenstelling Index: de chemische samenstelling van hoekstaal behoort tot de Rolled Steel -serie voor algemene structuur, en de belangrijkste verificatie -indexen zijn C, MN, P en S. Volgens verschillende merken varieert de inhoud van C <0,22%, Mn: 0,30 -0,65%, P <0,060%, S <0,060%.
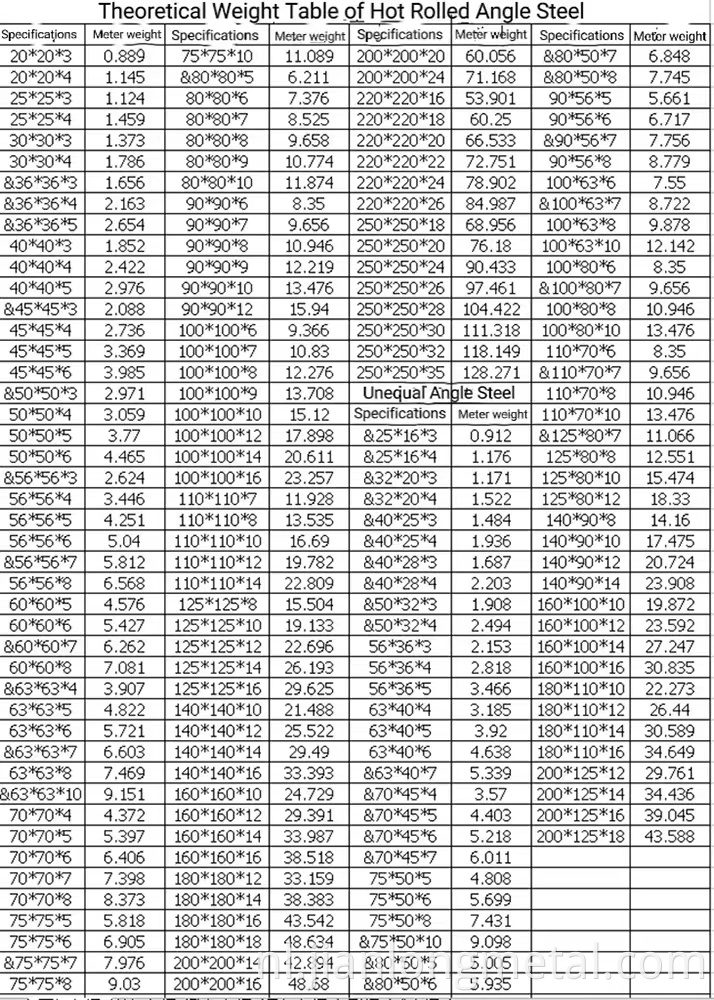
Product specificaties:

Verpakking en levering:

Landen exporteren:

FAQ:
1.Waarom kiest u ons?
Ons bedrijf is 12 jaar geweest. We beheersen de kwaliteit van de producten zeer strikt, er zijn speciale mensen voor de kwaliteit.
Als u een lagere prijs van een andere leverancier hebt, betalen we twee keer terug aan klanten over de hogere prijs.
2. Hoe lang is uw levertijd?
Volgens de hoeveelheid. Generaal binnen 2-7 dagen indien in voorraad. En 15-20 dagen indien niet op voorraad.
3. Wat zijn uw betalingsvoorwaarden?
A: Vooraf met t/t 30% en 70% vóór de levering.
B: 100% L/C bij zicht.
C: bij voor tevoren met T/T 30% en 70% L/C bij zicht.
4. Heb je monsters verstrekt? Het is gratis?
Ja, we bieden het monster gratis aan, maar betalen niet voor de kosten van vracht.
5.Wat als de klant niet tevreden is?
Als er een probleem is met het product, nemen we de volledige verantwoordelijkheid.
Als er een probleem is in het transportproces, zullen we u helpen dit op te lossen.
Privacy statement: Your privacy is very important to Us. Our company promises not to disclose your personal information to any external company with out your explicit permission.
Fill in more information so that we can get in touch with you faster
Privacy statement: Your privacy is very important to Us. Our company promises not to disclose your personal information to any external company with out your explicit permission.